Estos son los últimos holdings reportados de Metavalor Fi, correspondientes al tercer trimestre de 2015.
1. Composición actual de la cartera
| Compañía | 3T EUR | Acumulado 3t% |
| Talgo | 1.726.033 € | 7,26% |
| Miquel y Costas | 1.709.465 € | 14,45% |
| Barón de Ley | 1.658.292 € | 21,43% |
| Altia | 1.610.549 € | 28,20% |
| Lar Real Esta | 1.489.154 € | 34,47% |
| Applus | 1.263.579 € | 39,78% |
| Axia Real Estate | 1.193.636 € | 44,80% |
| Merlin Properties | 895.644 € | 48,57% |
| METAVALOR INT. FI | 880.908 € | 52,28% |
| Iberpapel | 849.882 € | 55,85% |
| DIA | 802.886 € | 59,23% |
| ALBA | 745.000 € | 62,36% |
| Ecuoya | 725.210 € | 65,41% |
| BME | 707.397 € | 68,39% |
| APERAM | 704.550 € | 71,35% |
| Ac. Tecnicas Reunida | 631.690 € | 74,01% |
| Grifols | 606.980 € | 76,56% |
| DINAMIA | 591.563 € | 79,05% |
| TESTA | 567.339 € | 81,44% |
| CATALANA OCC. | 508.251 € | 83,58% |
| Sacyr Vallehermoso | 472.323 € | 85,56% |
| Groupe Guillin | 432.705 € | 87,38% |
| VIDRALAL | 411.782 € | 89,12% |
| Accs. Mittal Steel | 372.560 € | 90,68% |
| Corticeira Amorim SA | 369.833 € | 92,24% |
| MAPFRE VIDA | 350.250 € | 93,71% |
| PROSEGUR | 342.693 € | 95,15% |
| C.A.F. | 275.850 € | 96,31% |
| BMW | 268.012 € | 97,44% |
| ACERINOX | 239.460 € | 98,45% |
| Tipp24 SE | 198.450 € | 99,28% |
| PSB Industries | 170.236 € | 100,00% |
2. Posiciones que salen de cartera
Cuatro. Manutan, High Co, Neopost y los derechos de Sacyr. Las cuatro posiciones representaban un 1,78% del total de la cartera del segundo trimestre. En concreto Manutan representaba el 40,58%, High Co un 30,06%, Neopost SA un 24,3% y los derechos de Sacyr un 4,93% sobre el total de 420.190€ que salen de la cartera.
Si lo tenemos en cuenta en función del montante del valor de las acciones que salen de la cartera obtenemos el siguiente gráfico.
3. Posiciones que entran en cartera
Dos. ArcelorMittal y Acerinox. Para ser más exactos ArcelorMittal ha recibido una inversión de 372.560€ a 30 de septiembre y Acerinox una inversión de 239.460€. Suponiendo ambas un 2,57% del total de la cartera o dicho de otra manera un montante de 612.020€.
En cuanto al porcentaje ArcelorMittal representa un 61% y Acerinox un 39% del montante que entra.
4. Posiciones que se han reducido en cartera
Teniendo en cuenta volumenes por acción y el precio a cierre del tercer trimestre, estas son las acciones que se han visto reducidas en la cartera.
| Compañía | Acciones 2T | Acciones 3T | Acciones compradas |
| Barón de Ley | 24.756 | 17.511 | -29,27% |
| Lar Real Esta | 206.021 | 174.170 | -15,46% |
| Iberpapel | 68.653 | 58.653 | -14,57% |
| VIDRALAL | 16.802 | 9.802 | -41,66% |
| Tipp24 SE | 4.994 | 4.928 | -1,33% |
o representado en términos porcentuales.
5. Posiciones que se han aumentado en cartera
Al igual que en el apartado anterior si tenemos en cuenta el volumen de acciones y el precio de las mismas a cierre del tercer trimestre, estas son las posiciones que se han visto incrementadas.
| Compañía | Acciones 2T | Acciones 3T | Acciones compradas |
| Talgo | 98850 | 379347,9121 | 283,76% |
| Altia | 138823,0392 | 153094,0114 | 10,28% |
| Applus | 144422,0019 | 149006,9575 | 3,17% |
| DIA | 68600 | 148682,5926 | 116,74% |
| ALBA | 17000 | 20000 | 17,65% |
| BME | 11415,98677 | 23415,98808 | 105,12% |
| APERAM | 17997,53897 | 29993,6143 | 66,65% |
| Técnicas Reunidas | 6478,004338 | 15980,01518 | 146,68% |
| Sacyr Vallehermoso | 202761,1765 | 238546,9697 | 17,65% |
En el siguiente gráfico observamos en que porcentaje se han incrementado las distintas posiciones.
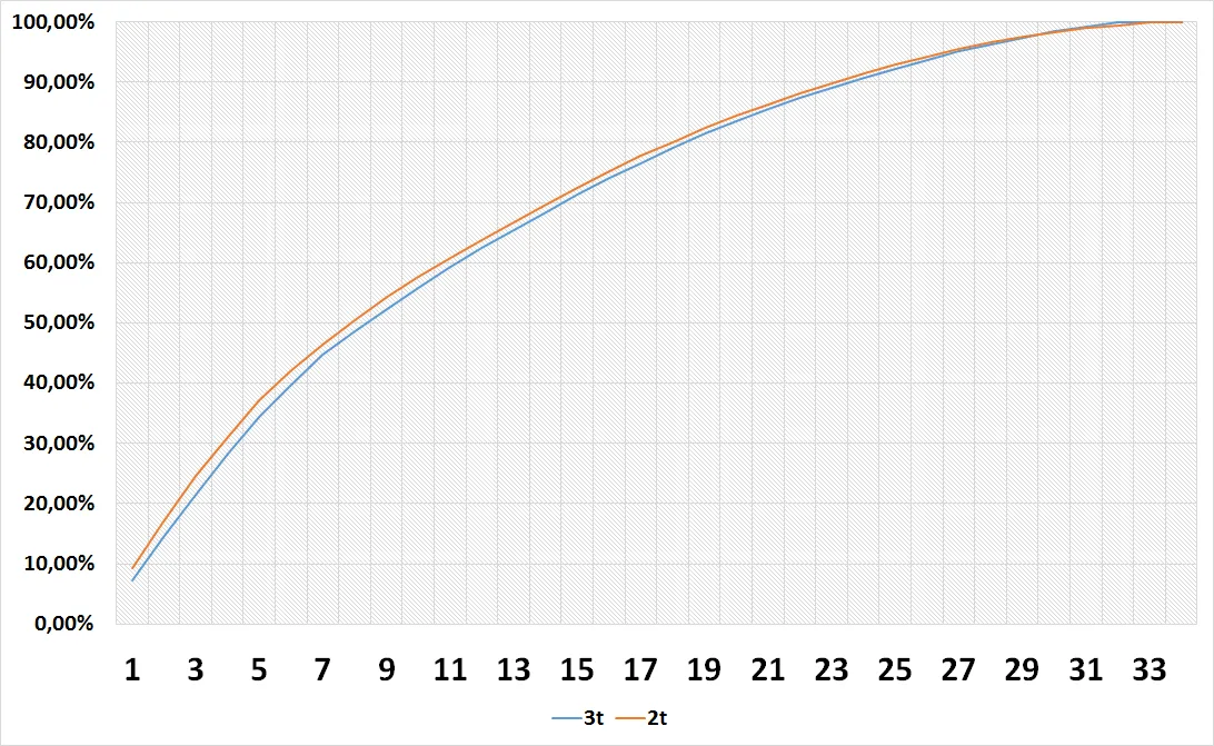
6. Concentración de cartera
El número total de posiciones se ha reducido de 34 a 32. Los activos bajo gestión de los 10 top holdings pasan del 57,58% al 55,85%. La cartera se encuentra más diversificada en cuanto a la asignación de activos y algo más concentrada en lo que se refiere al número de posiciones en cartera.
Quiero terminar dando las gracias a mi compañero @apandres por enseñarme y ayudarme a realizar este análisis entre otras muchas cosas. Asimismo disculparme si existe cualquier tipo de error y agradecer cualquier observación o comentario.
Descubre los mejores brókers y exchanges de 2026
Te contamos los mejores exchanges de criptomonedas y los mejor brókers para empezar a invertir online.