ANÁLISIS SUBJETIVOS I: PODER DE FIJACIÓN DE PRECIOS.

ANÁLISIS SUBJETIVOS I: PODER DE FIJACIÓN DE PRECIOS.

Me gusta
Comentar
Compartir

Saludos a todos. Después de un tiempo husmeando por esta red e intercambiando comentarios, realmente interesantes, con muchos de ustedes, me he decidido a escribir mi primer artículo en Unience. Sí resulta del agrado de los participantes, mi intención sería que fuera el primero de una serie con la que simplemente pretendo mostrar alguno de los puntos que yo considero a la hora de tomar decisiones de inversión.  Por supuesto, estos, no tienen porque coincidir con los de cualquier otra persona (ni ser más válidos) y de ahí  el término "subjetivos" en el titulo.

Me fascinan los artículos académicos pero dado el contexto y como no quiero resultar muy pedante (y muchas veces los artículos ecdémicos no sirven para mucho en el mundo real) creo que es mucho mejor intentar tratar el tema de una forma cercana y distendida (tal vez esto me ha quedado un poco soberbio cuando en realidad solo es una forma ,más o menos elegante, de ocultar que mi academicismo es similar al de cualquier tertuliano de un reallty show, experto en geopolítica o en futbol internacional tras realizar un cursillo por correspondencia).

Y después de este rollo introductorio comienzo propiamente con el articulo. Espero que sea de su agrado.

 

PODER DE FIJACIÓN DE PRECIOS.

Partamos de un punto en el que seguramente todos estaremos de acuerdo: existen compañías que venden sus productos con un mayor margen que otras. Esto se da entre compañías pertenecientes a un mismo sector. Por ejemplo los márgenes de BMW (sin ser nada espectaculares) son mucho mejores que los de las automovilísticas francesas. Y, por supuesto, no todos los sectores son igual de "buenos" en lo que a márgenes se refiere. Así, y en este sentido, no es igual de bueno el negocio de una automovilística francesa que por ejemplo el de Mastercard. Sin entrar en sí estos márgenes son (o no) sostenibles en el tiempo, que en mi opinión es lo verdaderamente importante; la primera pregunta que se me viene a la cabeza es: ¿Qué hace que esto sea así?

 Es posible que muchas personas con un enfoque más "cuántico" que el mío, simplemente, no les haga falta buscar explicaciones a esto (más allá de la anécdota) y posiblemente a través de unas reglas claras (tal vez apoyándose en la diversificación) elaboren e implementen su tesis de inversión de forma satisfactoria. Me parece una opción muy sensata. Pero como a mí me gusta darle vueltas a las cosas y centrarme en no demasiadas; prefiero indagar en las causas todo lo que pueda (asumiendo que soy todo menos objetivo).

 Si les soy sincero, creo en los márgenes está la clave de todo este "tinglao" pero...no tengo ni la menor idea de sí los márgenes altos o los ratios para medir la "calidad"(ROE,ROCE...)altos son la causa o la consecuencia de la capacidad de un negocio de fijar precios (podría ni siquiera tener relación aunque no lo creo). Tampoco es que me quite el sueño la verdad. De hecho creo que a la hora de realizar un análisis serio (todo lo serio que yo pueda hacerlo) lo cualitativo y lo cuantitativo se complementan. En este sentido es posible encontrar compañías que investigar en profundidad después de pasar un filtro cuantitativo o por el contrario a una compañía que nos guste (por los motivos que sean) podemos analizarle sus ratios para intentar confirmar nuestras intuiciones. Después de releer lo que llevo escrito no estoy seguro de si habré conseguido plasmar alguna idea con claridad o sí solamente he escrito un montón de dudas que puede que confundan (o lo que sería peor: que aburran) al lector por lo que voy a intentar centrarme, de una vez, en la fijación de precios y sobretodo en, que es lo que yo creo, que hace que una empresa pueda llegar a conseguir fijarlos sostenidamente en el tiempo. Para ello, como soy bastante torpe voy a ayudarme de algún ejemplo de compañías con las que mantengo cierto "romance" desde hace tiempo y que en mi opinión (subjetiva) son capaces de fijar precios de forma clara. Seguro que hay muchas otras y otra gran cantidad de ellas capaces de fijarlos por muchos otros motivos pero, para evitar meterme en muchos charcos innecesarios, voy a limitarme a hablar de lo que conozco.

Siempre me han gustado las chicas malas (sobretodo sí tratan muy mal a los demás y muy bien a mí). Y... ¿hay alguna chica con peor reputación que una tabaquera?   

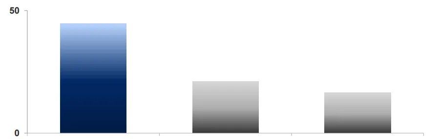
Para calentar motores y meternos un poco en contesto voy a mostrarles un gráfico:

En este gráfico (fuente Altria) se ven las cuotas de mercado de las principales marcas de cigarrillos en "los USA". No he puesto las marcas para darle un aire de misterio. La barra roja es... tatachan!..Marlboro  con un 44% de cuota de mercado. !Si! lo he escrito bien un 44% de todos los cigarrillos que se venden en América son Marlboro. Pero no queda ahí la cosa; las otras dos barras son Camel y Newport que... sorpresa, sorpresa... ambas pertenecen a la misma compañía (Raynolds America). Así que tennos un producto con unos volúmenes de ventas astronómicos (como veremos más abajo) que además decrece (eso sí, a tasas decrecientes) y que en mi opinión no es tan malo como parecería a primera vista,  en manos de solamente dos compañías (cuota entre las dos  rozando el 80%. Sí sumamos la cuota de la tercera compañía en este mercado se llega al 90% entre las tres) .  Mmm...¿Qué es lo que realmente me parece interesante de todo esto? Pues que, tal y como yo lo veo, en un oligopolio de semejantes características (volúmenes cayendo y todo el mercado en manos de dos monstruos "y medio" con marcas muy potentes y, admitámoslo, muy mala reputación) , no existe ningún aliciente a la entrada de nueva competencia. Pero... ¿ cómo se puede luchar contra alguien que vende el 44% de algo de toda USA?   Y de algo además con mucho peso absoluto y relativo.

Bien,  para que vean que no me lo estoy inventando "cuelgo" a continuación dos diapositivas sacadas de reportes de Altría(Marlboro USA) y Raynolds America para poner un poco de manifiesto lo que supone el negocio del tabaco en USA con respecto a otros negocios y lo que suponen las marcas principales.

Curioso  ¿verdad? En esta tesitura no es de estañar que los dos gigantes deberían de ser capaces de fijar precios (básicamente por la ausencia de competencia que presione los precios a la baja). Y eso que todavía no he entrado en el principal motivo por el que a mi juicio tienen un poder de fijación de precios monstruoso: Los fumadores no pueden dejarlo (No creo que haga falta extenderme en esto demasiado). Pero... Reitero...¿cómo se puede luchar contra alguien que vende el 44% de algo en toda USA?   Y que en volumen y monetariamente, además representa lo que representa. Bueno, solo sé me ocurre que... siendo una compañía que acapara otro 30 % del negocio (RAI).

Como analizar el sector tabaco no es el objetivo de este articulo (solamente diré que fuera de USA la situación es muy parecida y que existen ciertos aspectos que me hacen sospechar de que se acerca una especie de nueva edad de de oro del tabaco; sí es que la vieja se esfumó algún día. Pero no me hagan mucho caso). Vamos solamente a ver sí lo mencionado anteriormente se traduce en la tan ansiada capacidad de fijación de precios:

Pues parece que sí ¿verdad? Y aquí es donde el lector inteligente me dirá: !eh! !Espera un momento Fernando! Mucho grafiquito pero... ¿y los impuestos qué? Y tendría razón el perspicaz lector. Sí se fían de mi... los impuestos son como la mitad del precio (los saltos abruptos de la línea del precio en el gráfico). Así que, me han pillado, el gráfico cambiaría pero no dejaría de ser espectacular. Como en la página de la FRED no me deja añadir, ni quitar, variables al grafico habrá que acudir a otras fuentes:

 

No está nada mal ¿verdad?  SuperMario Darghi tirando billetes por la ventana para nada y estos tíos subiendo los precios un 4% anual. !Qué injusta es la vida!

Y... bueno, por increíble que parezca, los impuestos tienen sus ventajas: para el americano (por el tema de que el estado se supone que hará algo útil con ellos) y para la empresa (que es lo que nos importa) porque al gobierno no le interesará que estas compañías desaparezcan (creo que lo más importante de una inversión a largo plazo es minimizar el riesgo de quiebra o desaparición de la compañía). Ya saben todo ese rollo de la falsa moral de que fumar es malo pero: "fuma para que pueda llevarme mi parte". 

 

Démosle ahora la vuelta a la tortilla (con otra macarra de las buenas). Para ello voy a hablarles de uno de los sectores mas ruines y denostados que existen. El fabuloso mundo de las Aerolíneas. Ya sabrá el paciente lector de sus virtudes: dependencia del combustible, dependencia de los proveedores de aeronaves, piezas y mantenimiento, dependencia de los aeropuertos, dependencia de los gobiernos, dependencia de sus empleados (muy sindicalizados), dependencia por suerte cada vez menor del tío del cinturón de los "explosivos falsos" de abajo y del inteligentísimo cliente que se toma un selfi con el...

Nota. No termino de creerme que esto sea cierto.

Pues sí en semejante sector una compañía consigue vencer todos estos obstáculos (e incluso se guarda algún truco más en la chistera) minimizando los costes, que todas las "dependencias" anteriores le suponen, hasta un punto en el que las demás aerolíneas no puedan replicarlos sin tener que cerrar y reabrir (y muchas son cuestión de estado)... tal vez (y solo tal vez) tengamos entre manos una empresa capaz de fijar precios (solamente que a la baja). Y sí encima tiene un CEO tal que así...

...¿Qué podría salir mal?

No pretendo aquí analizar Ryanair (daría para otro artículo y tal vez a más de un lector le resulte un tema insulso) como tampoco antes pretendía analizar las tabaqueras. Solamente quiero centrarlo un poco en el tema de la fijación de precios ya que en este caso, a mi juicio, adquiere una importancia especial.  He leído un montón de informes estos meses de analistas, a todas luces mucho más inteligentes que yo, en los que se recomendaba con vehemencia comprar aerolíneas debido a que lo van a hacer muy bien por la caída del petróleo y en consecuencia del combustible que es su coste principal (solo que no representa el mismo porcentaje del coste total en cada una de ellas). Tengo que reconocer que por un momento pensé: "jo*er Fer... tenías que haber comprado la peor de todas. Seguro que va a ser la más beneficiada. Y tú, vas cargado de esa irlandesa que nadie pude ni ver ". Y entonces ocurrió el milagro: O´learly (ese adorable isleño socarrón) habló (esta vez sin disfrazar) y se hizo la luz. Dijo: "Es el momento perfecto para una guerra de precios". Y luego, llegaron los resultados de esa otra aerolínea, anaranjada,  gordita y alemana, con un pajarraco pintado en la cola. Y, en ellos (los resultados) la propia compañía reconocía que no habían podido trasladar el ahorro del combustible a beneficios en la medida que esperaban debido a los precios más bajos de los pasajes en todos el sector. !Qué gran país Irlanda! Sus compañías ni siquiera tienen que domiciliarse en el extranjero (para conseguir ventajas fiscales). Aunque un par de sociedades en Isla de Man (para auto-alquilarte los aviones que compras a Boeing) nunca vienen mal .

Por su puesto no animo a nadie a comprarse una aerolínea. Podría ser una inversión... !catastrófica! Tampoco quiero decir que una inversión en otra aerolínea distinta a Ryanair no pueda ser una magnifica inversión (incluso mucho mejor que RYA) Pero, es solo, que una vez más, me gustan las compañías que de un modo u otro (en este caso a costa de ser el productor más eficiente) sean capaces de fijar precios.

 

Yo diría que compañías capaces de fijar precios puede haberlas en los sectores más diversos y siempre suelen estar relacionadas con algún tipo de "foso" y con las archiconocidas ventajas competitivas. Voy a tratar de mencionar brevemente alguna de ellas (compañías) así como el motivo o uno de los motivos (como no, subjetivos) que en mi opinión hacen esto posible:

- Se me viene en primer lugar a la cabeza una empresa mucho más dulce que todas las mencionadas anteriormente: La adorable Disney . ¿Quién va a llevar a su hijo a ver la película de Fochen en ved de Frozen?, ¿quién va a regalarle una película pirata por el "cumple" a uno de los compañeros de clase del churumbel?, ¿quién le dice no al canal de tv que comenta con sus compañeros en el patio del colegio?, ¿quién va comprar un muñeco de del ratón Mockey por navidad en ved de uno del entrañable Mickey?,  ¿quién no pide un crédito al banco para llevar a su hijo a Eurodisney  a celebrar la primera comunión? (Creo que aquí ya me estoy pasando) Todos estos quienes son en mi opinión más que aplicables a personas ya creciditas tipo... StarWars fans o NBA fans (quien lo iba a decir).

-Cambiemos de empresa y permítanme una pregunta comprometida (que por suerte no hay que responder). A alguno de ustedes se le ha pasado, en su momento, por la cabeza... ¿Utilizar preservativos de marca blanca? Pues eso jejeje. Cuando hagan la compra en su supermercado o cuando entren en una farmacia, pasen por delante de la sección (con disimulo a ser posible) y miren simplemente cuantas marcas de preservativos hay a la venta. Unos los hace una compañía "british" de nombre impronunciable (Reckitt Benckiser) posiblemente única en el mundo. Una especie de mezcla entre Henkel, P&G y J&J que yo siempre he querido comprar pero, como su cotización tiende a subir hasta el infinito, nunca me he atrevido. Tonto de mi. No me resisto a dejarles aquí una muestra de la publicidad que hace la compañía (muy en línea con lo comentado anteriormente sobre el miedo a las marcas de peor calidad):

Nota: hay varios conglomerados con capacidad para fijar precios solo en algunos de sus productos. En mi experiencia, es importante fijarse en qué porcentaje sobre las ventas totales de la compañía representan las ventas de dichos productos.

-En otro sector que me gusta menos (más abajo hablaré un poco más de esto): Apple podría ser otro ejemplo de compañía que fija precios. En este caso no estoy tan seguro y hay comentarios en esta red  social mucho más interesantes que cualquier cosa que yo pueda aportar.

-"Democracia no es elegir entre Coca-Cola y Pepsi-Cola" ¿Les suena? Sí Pablo iglesias ha llegado a decir esto... saquen sus propias conclusiones.

Me gustaría dejar claro que todas estas compañías no tienen porque ser una buena inversión (incluso dando por buena mi teoría de que son capaces de fijar precios y obtener mejores márgenes que la competencia).Habría que estudiar muchos otros factores: desde la sostenibilidad de su deuda a el PRECIO al que se pueden comprar las compañías en el momento actual.

Hablemos ahora de lo que me aterra. Permítanme que empiece con una historia que un familiar mío cuenta, en la sobremesa, cuando se siente animado, no sin cierta nostalgia. Al parecer, cuando él (mi familiar) era un jovenzuelo, en el pueblo, los chavales salían corriendo del colegio para plantarse delante del escaparate de la Casa Azul (así se llamaba la tienda) a contemplar tras el cristal la primera televisión que hizo acto de presencia. Lo gracioso de la historia es que, al parecer, cuando el grupo de chavales que se agolpaba delante del escaparate era ya importante; el orgullosos comerciante encendía la televisión y la multitud podía ver un rato unas cuantas rayas parpadeantes (Había televisión pero no llegaba ninguna emisión). Y aquí termina la historia.  Un avispado inversor de la época (sí es que en la época había alguien con posibilidades para serlo), ante tal alarde de expectación, podría haber sido capaz de anticipar la irrupción que iba a suponer aquel trasto cuadrado de madera y, tal vez, podría haberlo visto como una magnifica inversión. Y, lo cierto es que invertir en compañías de televisiones, tal vez fuera una buena inversión durante algún tiempo (sinceramente no los sé) pero unas décadas después... con tres o cuatro (puede que  alguno más) plasmas por casa (fíjese el lector en lo que ha supuesto en aumento de volúmenes de ventas respecto a aquella época), creo que la inmensa mayoría de nosotros, no veríamos la inversión en compañías fabricantes de televisiones como algo tan... "interesante". ¿Alguien se acuerda de cuando la gente compraba televisiones Sony porque eran mejores que la competencia? [Sé está llevando a cabo en otro artículo un interesante debate sobre Tesla. Tal vez alguien se anime a escribir algo sobre la inversión en procesos disruptivos: como identificarlos y cuando vender. Es algo que me encantaría leer].

Sí les digo la verdad: me encanta el capitalismo (como consumidor claro). Creo que es el mejor sistema que hemos tenido (a falta de que inventen algo mejor). Pasar del burro al BMW no está nada mal. Ahora bien, como inversor (y en esto me siento un poco en contra de la opinión de cualquier ciudadano de bien) aborrezco el capitalismo. No me gusta la libre competencia y todo lo que representa. Cuanto más oligopolistico y desagradable sea un sector, en principio, mejor que mejor (luego están todos esos oligopolios para-estatales en los que el accionista es lo último por lo que se mira que no puedo ver ni en pintura). ¿Por qué digo todo esto? Bueno por lo que he venido comentando a lo largo de este articulo pero un poco al revés. Vamos que sí algo no me gusta (y por supuesto que puede haber excepciones) es una industria con mucha competencia en la que las empresas no sean capaces de fijar precios. Y para muestra un botón:

Uno empieza a entender porque IBM se ha deshecho de todo lo "físico. Todo es tan... rápido.

El resumen, un poco de andar por casa de todo esto (pero como esto ni es, ni pretende ser un documento académico, tampoco pasa nada), sería: sector muy rentable entra capital, la competencia hace caer los márgenes, el sector deja de ser rentable.

Claro que puede haber determinadas compañías con unas ventajas competitivas muy solidas (por las razones más variopintas) que mantengan su capacidad para fijar precios en sectores rentables a pesar de la competencia. Estas podrían ser unas inversiones de la leche. Tal vez Google sea una empresa, en un sector muy competitivo y cambiante :( con unas cuantas ventajas competitivas importantes (o todas) que le permiten fijar precios: cobrarle una pasta a los abogados que salen en los primeros puestos del buscador.  Lo mejor de todo es que el usuario (de a pie) tiene la percepción de que es... !Gratis! o, mejor, de que se va a forrar como Youtuber. Y bueno en realidad, en mi opinión, para mí sí que es gratis (no me importa demasiado que conozcan mi vida al dedillo). A pesar de todo esto, personalmente, me gusta más rebuscar en los sectores en los que el propio sector actúa como una especie de barrera de entrada (tabaco, aerolíneas...).  Como siempre, seguro que hay multitud de excepciones a esto.

Y ya voy acabando. Solamente decir que soy de los que cree que la evolución humana se basa en la copia (espero que no me lea ninguna artista de cine español) así que siéntanse libres de tomar lo que quieran modificarlo, mejorarlo y criticarlo (aunque solo sea para decir lo malo que es el articulo).

Ahora es cuando debería decir que me retiro a fumar un cigarrillo pero, como no fumo, les dejo con la siguiente reflexión:

A 5 Euros la cajetilla. Una cajetilla al día. Con el interés compuesto que han dado las tabaqueras. En unas décadas eso es....  Mucha pasta.

Y aunque la rentabilidad compuesta sea la mitad de lo que ha sido en el pasado... sería mucha pasta.

Y, sí quiebra la tabaquera y uno pierde todo lo invertido... Bueno, de todas formas, uno se habría fundido el dinero igual enturbiando los pulmones. En todo caso, un placer compartir este articulo con ustedes. Hasta otra. 

 

Nota1: He intentado que este articulo sea lo más ameno posible. No sé si habré conseguido el objetivo. En cualquier caso: comprar una compañía y no tocara en décadas (como a mí me gusta) no es ameno (pero hay otras opciones). Y lo que ya no tiene nada de ameno ni de divertido es ver caer un 40-50% la cotización de una compañía que uno tiene en cartera y de la que piensa que su valor es muy superior (Lo digo por "sufrimiento propio" y por sí a alguien se le ocurriera comprar alguna de las compañías que he mencionado pues bien podría pasarle esto mañana o pasado y no me gustaría que nadie perdiera ni un céntimo por mi culpa). De modo que no recomiendo nada a nadie. Maldito Mr. Market. Bendito Mr. Market.

Nota2. Tengo intereses en todas las compañías que mencionado (Menos en RB que tengo intención de comprarla algún día). No pretendo dar ninguna recomendación de compra  ni de venta. Es más no tengo ni la menor idea de lo que va a pasar (o no pasar en el futro).

Nota3. No tengo relación con ningún fondo, institución financiera, de inversión y/o asesoramiento de ningún tipo. Vamos, que no pretendo convencer a nadie de nada, ni mucho menos lúcrame con ello. Mis opiniones son mías y las plasmo aquí por pura diversión, para poner en orden mis ideas y por sí a alguien le interesa algo de lo que cuento (que no lo tengo muy claro).

0 ComentariosSé el primero en comentar
User